当前位置:首页 » 《随便一记》 » 正文

【算法】高精度计算π(pi)值

9 人参与  2023年04月05日 08:01  分类 : 《随便一记》  评论

点击全文阅读


?大家好,我是白晨,一个不是很能熬夜?,但是也想日更的人✈。如果喜欢这篇文章,点个赞?,关注一下?白晨吧!你的支持就是我最大的动力!???

在这里插入图片描述

文章目录

?前言?1.公式选择?2.实现难点解析?3.代码实现?后记


?前言


π π π 一直是一个备受数学界青睐的数字。从古至今,无数的学者都在努力探求着 π π π 精确值。?‍♂️从祖冲之到欧拉,?从圣经到《数理精蕴》,从东至西,历经几千年的发展,特别是在计算机发明之后,对于 π π π 的求解可以说是一日千里,现在计算到几十亿位以后已经不值得惊讶。

?这篇文章,白晨想带大家去了解利用计算机求解 π π π 的一种方法,其中涉及到 C++,链表,大数四则运算等知识点。我会尽可能详细的讲解每一个难点的实现。

题目参考:

在这里插入图片描述

这次我们的最低目标是在3000ms的限制内,实现计算 π π π 到小数点后500位。


?1.公式选择


首先,如果不清楚如何计算 π π π 的同学可以先参考下面的文章,有助于理解下面的公式选择。

π 是怎么算出来的?

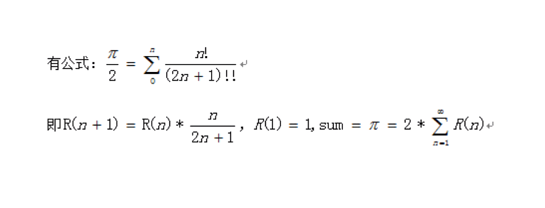
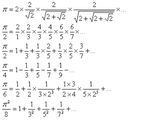
相信大家看完后已经对 π π π 的求法有一定的认识了,所以这里给出几个关于 π π π 的几个公式:

在这里插入图片描述

我们这里选择第三个公式,为什么呢?

当然是因为第三个公式是题目给出的反正切函数的幂次展开式啦(bushi)

其实是因为第三个公式是线性收敛,平均每计算一次就会得到0.3个有效数字,相比于第四个 a r c t a n x arctanx arctanx泰勒展开公式(莱布尼茨公式)来说,效率上会高出很多,而且最重要的一点是它比较容易实现,递推公式如下:

在这里插入图片描述

将其展开就是第三个公式,大家可以对比着看。

关于 a r c t a n x arctanx arctanx泰勒展开计算 π π π 可以参考此篇文章:π的计算

反正切函数的幂次展开式的推导具体过程:

在这里插入图片描述


?2.实现难点解析


关于大数实现:

这里我们选择 C++ 模板中的 list 类来实现(也可以使用string类等,只要可以进行大数四则运算就可以,这里为了符合题意使用链表),由于 π π π 的整数部分为3,所以我们只需要一位来存储整数部分,也即front存储整数部分,其余小数点以后的位顺次向后连接。

我们的核心目标是要实现:

在这里插入图片描述

我们将上面的任务拆开,分解成一个个独立的任务

R ( n ) ∗ n R(n) * n R(n)∗n

这里我们选择模拟竖式乘法:

从链表尾结点开始,每个结点的数乘n。结点中只能存放个位数,所以当乘得结果大于等于10,需要保存进位。每次计算乘法时,还需要加上前一个数的进位。循环上述过程,直到头节点。

在这里插入图片描述

R ( n ) ∗ n / ( 2 ∗ n + 1 ) R(n) * n/(2*n+1) R(n)∗n/(2∗n+1)

这里我们选择模拟竖式除法:

用上面乘法得到的结果除以(2n + 1)。除法与乘法相反,我们要从头节点开始除法。每一位除以(2n + 1)得到的结果就是:(此节点的值 + 上一个结点的余数*10) /(2n + 1)。再保存这个结点除以(2n + 1)后所得的余数。循环上述过程,直到尾节点

此处不再演示,大家可以类比乘法动手模拟一下,其实非常相似,代码也很相似。

S u m ( n + 1 ) = S u m ( n ) + R ( n + 1 ) Sum(n + 1) = Sum(n) + R(n + 1) Sum(n+1)=Sum(n)+R(n+1)

这就是递推公式的最后一步,将上面计算得到的 R ( n + 1 ) R(n+1) R(n+1) 加到 S u m ( n ) Sum(n) Sum(n) 上,这其实就是一个大数加法的问题,我们选择模拟竖式加法:

从最低位开始, R ( n + 1 ) R(n+1) R(n+1) 与 S u m ( n ) Sum(n) Sum(n) 对应的位相加。相加得到的值如果大于等于10,需要进位。对应位相加得到的结果需要加上进位循环上述过程,直到头节点

此过程与乘法非常相近,在后面的代码实现中我们可以看出。

关于链表结点个数

链表结点数代表着小数点后的位数,所以当然是结点越多越精确,但是结点数太多会影响性能。如果我们要实现500位的精确值,我的建议是创建550~600个结点即可。

关于要迭代的次数

这里有两种根据所求精度估算大致的迭代的次数的方法:

估算精度

int count(int n) {int i = 1;double sum = 0;int a, b;while(1){a = 2 * i + 1;b = i;sum = sum + log10(a / b);i++;if (sum > n + 1) {return i;}}}

参考文章:数据结构实验1.2—高精度计算PI值(西工大)

估算有效数字

在这里插入图片描述

int count(int n){double ret = (double)n;return (int)(ret / 0.3);}

参考文章:目前求 π 的算法中哪种收敛最快?

以上两种方法都可以使用,根据我在release发布版本的测试下,两种方法没有数量级的差别,所以使用哪一种都可以。

注:如果要提升精度,必须也增大结点个数,不能只增加迭代次数

测试结果:

方法一:
在这里插入图片描述

方法二:
在这里插入图片描述


?3.代码实现


#include <time.h>#include <iostream>#include <list>#include<math.h>using namespace std;// 估测要计算的次数// 方法一:int count(int n) {int i = 1;double sum = 0;int a, b;while(1){a = 2 * i + 1;b = i;sum = sum + log10(a / b);i++;if (sum > n + 1) {return i;}}}// 方法二:int count(int n){double ret = (double)n;return (int)(ret / 0.3);}int main(){// 定义我们需要多少个结点#define NODE_NUM 550list<int> num(NODE_NUM, 0);// 存放R(n)list<int> sum(NODE_NUM, 0);// 存放Sum(n)int print;// 所需精度cin >> print;int cnt = count(print);// 所需迭代次数    // 我们直接将 R(1) 初始化为2,这样就可以免去后面再统一乘2num.front() = 2;sum.front() = 2;// 这里循环的 i 就是 n for (int i = 1; i <= cnt; ++i){int ret = 0;// 记录进位,补位情况 // 计算R(n + 1)// 计算 R(n) * nfor (list<int>::reverse_iterator cur1 = num.rbegin(); cur1 != num.rend(); cur1++){            // 每一位都是本位乘i,再加上进位int val = *cur1 * i + ret;            // 保存进位ret = val / 10;            // 保存本位*cur1 = val % 10;}ret = 0;// 计算 R(n) * n / (2n + 1)for (list<int>::iterator cur1 = num.begin(); cur1 != num.end(); cur1++){            // 除数int div = (i << 1) + 1;            // 加上前一位的余数int val = *cur1 + ret * 10;            // 除法,保存本位*cur1 = val / div;            // 保存余数ret = val - *cur1 * div;}ret = 0;// 计算 sum += R(n + 1)for (auto cur2 = sum.rbegin(), cur1 = num.rbegin(); cur2 != sum.rend(); cur2++, cur1++){            // 大数加法int val = *cur1 + *cur2 + ret;*cur2 = val % 10;ret = val / 10;}}// 打印cout << sum.front() << '.';list<int>::iterator it = sum.begin();it++;int i = 0;while (i < print){cout << *it;it++;i++;}return 0;}

?后记


这个方法其实还是有改进的细节,比如:

将输入输出更换为scanf和printf,因为其实在效率上 cin和cout 比前者慢了几十倍,在输出大型数字时,效率会受影响。公式限制,其实比反正切幂次展开更高效的公式还是很多,这里只是为了实现简单和逻辑清晰而选择了反正切幂次展开,大家有兴趣可以参考下图公式自己去实现。

在这里插入图片描述

参考文章:目前求 π 的算法中哪种收敛最快?


这是一个新的系列 ——【算法】,想来想去将这个计算 π π π 的文章放到了【算法】系列的开篇。因为其中确实有不少算法的实现,并且难度不是很大,很适合想学习C++或者算法的入门学习,在探求 π π π 的实践中一路学习高数?和编程(bushi)。

如果解析有不对之处还请指正,我会尽快修改,多谢大家的包容。

如果大家喜欢这个系列,还请大家多多支持啦?!

如果这篇文章有帮到你,还请给我一个大拇指 ?和小星星 ⭐️支持一下白晨吧!喜欢白晨【算法】系列的话,不如关注?白晨,以便看到最新更新哟!!!

我是不太能熬夜的白晨,我们下篇文章见。


点击全文阅读


本文链接:http://www.zhangshiyu.com/post/58355.html

<< 上一篇 下一篇 >>

  • 评论(0)
  • 赞助本站

◎欢迎参与讨论,请在这里发表您的看法、交流您的观点。

关于我们 | 我要投稿 | 免责申明

Copyright © 2020-2022 ZhangShiYu.com Rights Reserved.豫ICP备2022013469号-1