Python+大数据-数据分析与处理(六)-综合案例
案例一:Appstore数据分析
学习目标
掌握描述性数据分析流程
能够使用pandas、seaborn进行数据分析和可视化
1.案例介绍
案例背景:
对 App 下载和评分数据分析,帮助 App 开发者获取和留存用户通过对应用商店的数据分析为开发人员提供可操作的意见分析需求:
免费和收费的 App 都集中在哪些类别收费 App 的价格是如何分布的,不同类别的价格分布怎样App文件的大小和价格以及用户评分之间是否有关分析流程:
1)数据概况分析
数据行/列数量缺失值分布2)单变量分析
数字型变量的描述指标(平均值,最小值,最大值,标准差等)类别型变量(多少个分类,各自占比)3)多变量分析
按类别交叉对比变量之间的相关性分析4)可视化分析
分布趋势(直方图)不同组差异(柱状图)相关性(散点图/热力图)数据集说明:
本案例使用 applestore.csv 数据集,其数据字段如下:
| 字段 | 说明 |
|---|---|
id | App ID:每个 App 唯一标识 |
track_name | App 的名称 |
size_bytes | 以 bytes 为单位的 App 大小 |
price | 定价(美元) |
rating_count_tot | App 所有版本的用户评分数量 |
rating_count_ver | App 当前版本的用户评分数量 |
prime_genre | App 的类别 |
user_rating | App 所有版本的用户评分 |
sup_devices.num | 支持的 iOS 设备数量 |
ipadSc_urls.num | App 提供的截屏展示数量 |
lang.num | 支持的语言数量 |
2. 数据清洗
# 加载数据import pandas as pdapp = pd.read_csv('./data/applestore.csv',index_col=0)app 
# 查看数据集的字段信息app.info() 
# 查看数据集的各个字段统计值app.describe() 
# 查看是否有缺失值app.shape (7197, 10) # 将sizebytes 大小变成mb ,新增size_mb列app['size_mb'] = app['size_bytes']/(1024*1024)app 
# 查看size_mb 列的统计值app.size_mb.describe() 
# 根据价格新增是否免费paid列 判断免费为0 不免费为1app['paid'] = app['price'].apply(lambda x : 1 if x>0 else 0)app 
# 查看paid列统计信息#s.value_counts()`统计 Series 数据中不同元素的个数app['paid'].value_counts() 
3.单变量分析
# 查看app 的结果是如何分布的app.price.value_counts() 
# 将按照价格app数据进行分组# pandas.cut()函数可以将数据进行分类成不同的区间值bins = [0,2,10,30]labels=['<2','<10','<30']# 分组 bins代表分组区间,默认是左开右闭 左闭右开 right=False labels 显示区间app['price_new'] = pd.cut(app.price,bins ,right=False,labels=labels)app.head(20) 
# 分组后查看数据分布情况# `df.groupby(列标签, ...).列标签.聚合函数()`按指定列分组,并对分组 数据的相应列进行相应的 聚合操作app.groupby('price_new')['price'].describe() 
# 查看不同类别app价格如何分布的app.groupby('prime_genre')['price'].describe() 
# 删除价格大于49.99的app数据app = app[app['price']<= 49.99]app.head() 
# 利用app所有版本的评分数量对数据进行分组app.rating_count_tot.describe() 
4.业务数据可视化
import matplotlib.pyplot as pltimport seaborn as sns%matplotlib inline# app 评分关系# height:关键字来控制图片高度 # aspect:控制宽高比例sns.relplot(x='prime_genre', y='user_rating', kind='line', data=app, height=5, aspect=3)# 将 x 轴文字旋转45度plt.xticks( rotation=45, horizontalalignment='right', fontweight='light', fontsize='x-large' ) 
# c查看价格小于9.99元的app价格分布plt.figure(figsize=(20,8))#筛选出price<=9.99的app数据app_result = app[app['price']<=9.99]sns.displot(app_result['price']) 
# 查看不同类别的收费APP的价格分布plt.figure(figsize=(20, 8))sns.boxplot(x='price', y='prime_genre', data=app[app['paid']==1])plt.yticks(fontweight='light', fontsize='x-large') 
# 查看数量最多的前 5 个类别收费 App 的价格分布# 筛选出数量最多的前 5 类 App 的数据top5 = app.groupby('prime_genre')['price'].count().sort_values(ascending=False).head()app5 = app[app.prime_genre.isin(top5.index)]# 绘制箱线图plt.figure(figsize=(20, 8))sns.boxplot(x='price', y='prime_genre', data=app5[app5['paid']==1]) 
# 查看 App 数据中价格和用户评分的关系,绘制散点图plt.figure(figsize=(20, 8))sns.scatterplot(x='price', y='user_rating', data=app) 
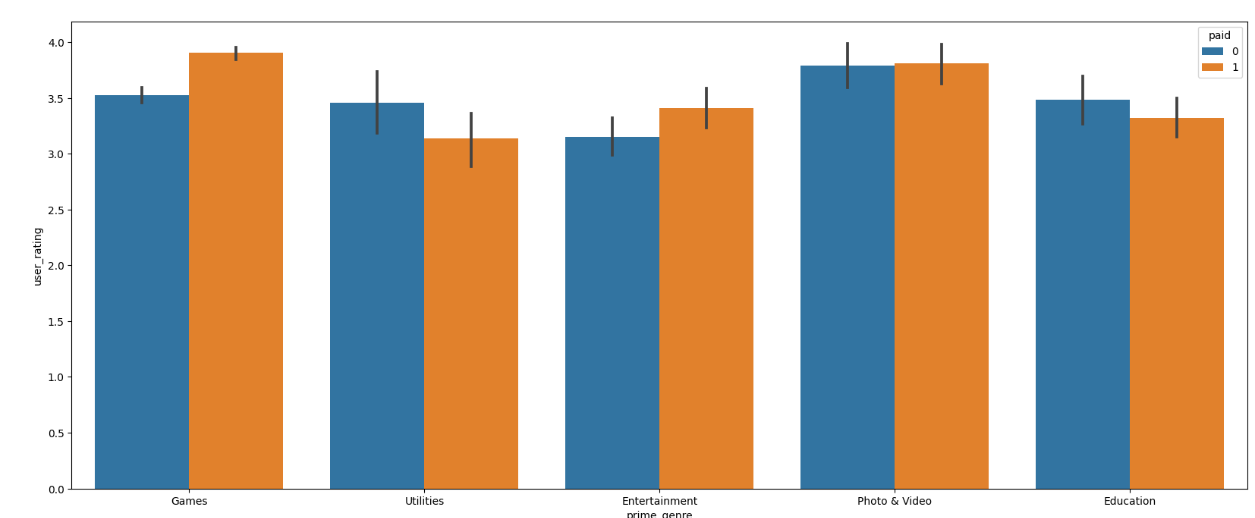
# 同一类别,将免费和付费的评分进行对比plt.figure(figsize=(20, 8))sns.barplot(x='prime_genre', y='user_rating', data=app5, hue='paid') 
5.业务解读
业务问题1:免费或收费 App 集中在哪些类别?
#第一步:将数据统计出每个类别有多少个app#第二步:从高到低进行排列#第三步:将数据进行可视化plt.figure(figsize=(20,8))#参数 order指定数据显示的顺序sns.countplot(y='prime_genre',data=app, order=app['prime_genre'].value_counts().index,hue='paid') 
业务问题2:免费与收费的 App 在不同评分区间的分布?
#将评分进行分箱,查看落入不同箱中应用的数量bins =[0,0.5,2.5,4.5,5.1]app['rating_level'] = pd.cut(app.user_rating,bins,right=False)app.groupby('rating_level')['user_rating'].describe() 
py# 数据可视化plt.figure(figsize=(20,8))sns.countplot(x='paid',data=app,hue='rating_level') 
业务问题3:APP的价格、大小和用户评分之间有关系吗?
# 通过corr计算APP的价格,大小和用户评价之间的关系app[['user_rating','price','size_mb']].corr() 
# 通过热力图来查看变量之间两两的相关系数plt.figure(figsize=(20,8))sns.heatmap(app[['user_rating','price','size_mb']].corr()) 
案例二: 优衣库销售数据分析
学习目标
掌握描述性数据分析流程能够使用pandas、seaborn进行数据分析和可视化1.案例介绍
案例背景:
数据集中包含了不同城市优衣库门店的销售记录通过对销售数据的分析,为运营提供一些有益信息分析需求:
不同产品的销售情况,顾客喜欢的购买方式销售额和成本之间的关系购买时间偏好数据集说明:
本案例使用 uniqlo.csv 数据集,其数据字段如下:
| 字段 | 说明 |
|---|---|
store_id | 门店随机id |
city | 城市 |
channel | 销售渠道:网购自提、门店购买 |
gender_group | 客户性别:男、女 |
age_group | 客户年龄段 |
wkd_ind | 购买发生的时间:周末、周间 |
product | 产品类别 |
customer | 客户数量 |
revenue | 销售金额 |
order | 订单数量 |
quant | 购买产品的数量 |
unit_cost | 成本(制作+运营) |
2.加载数据
# 加载数据#不同产品的销售情况,顾客喜欢的购买方式#销售额和成本之间的关系#购买时间偏好import pandas as pduniqlo = pd.read_csv('./data/uniqlo.csv')uniqlo 
# 查看数据的字段信息uniqlo.info() 
#查看非空uniqlo.shape(22293, 12) # 查看数据字段的统计信息uniqlo.describe() 
# 查看销售金额小于1的数据信息uniqlo[uniqlo.revenue<1] 
# 查看销售金额大于5000的数据信息uniqlo[uniqlo.revenue>5000] 
3. 业务解读
不同产品的销售情况
# 统计不同种类产品的订单情况uniqlo.groupby('product')['order'].sum().sort_values(ascending=False) 
# 统计不同种类产品的销量uniqlo.groupby('product')['quant'].sum().sort_values(ascending=False) 
py# 进一步拆解,按城市拆解销量uniqlo.pivot_table(values='quant', index='product', columns='city', aggfunc='sum').sort_values('上海',ascending=False) 
# 对城市拆解后,在进一步按下上线拆解uniqlo.pivot_table(values='quant', index='product', columns=['city','channel'], aggfunc='sum') 
用户习惯使用哪种方式进行消费
# 使用不同消费方式的订单数量uniqlo.groupby('channel').order.sum() 
y#进一步按城市拆解uniqlo.pivot_table(index='city',columns='channel', values='order',aggfunc='sum').sort_values('线上',ascending=False) 
# 进一步统计线上线下销售额uniqlo.pivot_table(values='quant',index='city', columns='channel',aggfunc='sum') 
用户消费习惯(周间还是周末)
#统计用户周间,周末消费的整体情况uniqlo.wkd_ind.value_counts() 
# 通过数据透视表,查看不同城市周间,周末销售情况wkd_sales = uniqlo.pivot_table(values='quant',index='wkd_ind', columns='city',aggfunc='sum')wkd_sales 
# 添加字段,计算每天的销售额wkd_sales.loc['weekday_avg',:]= wkd_sales.loc['Weekday',:] /5wkd_sales.loc['weekend_avg',:]= wkd_sales.loc['Weekend',:] /2wkd_sales 
销售额和成本之间的关系
# 计算销售额和成本之间的相关系数uniqlo[['revenue','unit_cost']].corr() 
y# 进一步查看unit_costuniqlo.unit_cost.value_counts() 
#筛选出销售额大于1的销售额uniqlo2 = uniqlo[uniqlo.revenue>1]uniqlo2.head() 
# 添加单件收入列,并计算单件收入和单位成本计算相似度uniqlo2['rev_per_goods'] = uniqlo2['revenue'] / uniqlo2['quant']uniqlo2[['rev_per_goods','unit_cost']].corr() 
p# 绘制热力图sns.heatmap(uniqlo2[['rev_per_goods', 'unit_cost']].corr()) 